next up previous
Next: Concluding Remarks Up: The Time of Previous: Example: Dirac's counter

Example: Dirac's counter for Schrödinger's particle

We consider now another example corresponding to a free Schrödinger's particle on a line. We will study response of a Dirac's delta counter , placed at x=a, to a Gaussian wave packet whose initial shape at t=0 is given by:

In the following it will be convenient to use dimensionless variables for measuring space, time and the strength of the coupling:

We denote

In these new variables we have:

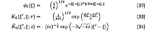
We can compute now explicitly of Eq. (13):

where

and the amplitude of Eq. (26), when rendered dimensionless,gif reads

with the function defined by

(see Ref. [30], Ch. 7.1.1 -- 7.1.2). We have also used the formula

valid for (see [30], Ch. 7.4.2).
To compute from Eqs. (20,21) the correct boundary values of the complex square root (with the cut on the negative real half-axis) must be taken. Thus for we should take

The time of arrival probability curves of the counter for several values of the coupling constant are shown in Fig.2. The incoming wave packet starts at t=0, x=-4, with velocity It is seen from the plot that the average time at which the counter, placed at x=0, is triggered is about one time unit, independently of the value of the coupling constant. This numerical example shows that our model of a counter serves can be used for measurements of time of arrival. It is to be noticed that the shape of the response curve is almost insensitive to the value of the coupling constant. Fig.3 shows the curves of Fig.2, but rescaled in such a way that the probability . The only effect of the increase of the coupling constant in the interval is a slight shift of the response time to the left - which is intuitively clear. Notice that the shape of the curve in time corresponds well to the shape of the initial wave packet in space.
For a given velocity of the packet there is an optimal value of the coupling constant. In our dimensionless units it is . Figure 4 shows this asymptotically linear dependence. At the optimal coupling the total response probability approaches the value - the same as in the ultra--relativistic case.
By numerical calculations we have found that the maximal value of that can be obtained for a single Dirac's delta counter and Schrödinger's particle is slightly higher than that corresponds to the value of the coupling constant. The dependence of on the coupling constant for a static wave packet (that is v=0) centered exactly over the detector is shown in Fig.5. Fig.6 shows the dependence of on both variables: v and

The value for the maximal response probability of a detector may appear to be rather strange. It is however connected with the point--like structure of the detector in our simple model. For a composite detector, for instance already for a two--point detector, this restriction does not apply and arbitrarily close to can be obtained. Our method applies as well to detectors continuously distributed in space. In this case the efficiency of the detector (for a given initial wavepacket) will depend on the shape of the function . The absorptive complex potentials studied in [31,32] are natural candidates for providing maximal efficiency as measured by defined at the end of Sec. 2.2.


next up previous
Next: Concluding Remarks Up: The Time of Previous: Example: Dirac's counter



Arkadiusz Jadczyk
Thu Feb 22 09:58:31 MET 1996